中国红星宣纸扫一扫 关注我们
宋代,宣纸进一步发展,其制作中已尝试加入短纤维的稻草浆料,与长纤维的青檀皮浆料配合使用,形成互为支撑的关系,进而品种增多,使用范围也进一步扩大,几度形成“纸贵如金”局面。纸除了用于书法、绘画、制伞、纸扇、印刷、纸币(如宋代“交子”)等常规用途外,还创造性地发育了若干特殊的使用领域——例如制造作战用的纸甲以及纸衣。加上北宋时期,活字印刷术的发明,不仅推动了我国印刷业的进步,也进一步促进了宣纸及其他纸种的迅速发展。
这一时期,由宣纸诞生的各色加工纸更是琳琅满目。宣纸的后续加工已不再局限于宣州,而是扩展到徽州、池州等地。北宋苏易简在所著《文房四谱》中写到:“黟歙间多良纸,有凝霜、澄心之号,复有长者,可五十尺为一幅,该歙民数日理其楮,然后于长船中浸之,数十夫举帘以抄之,傍一夫以鼓击之。续于大熏笼上周而焙之,不上于墙壁也。由是自首至尾,匀薄如一。”这是古代文人为宣纸制作技艺留下的珍贵文献。再加上现存于安徽省博物馆的、由宋代张即之书写的《张即之抄经册》分析,其纸张即为青檀皮与稻草混合制成,由此可见,该技艺的核心内容此时已经在日常生产中广泛实践,技艺已经走向成熟。

《抄经册》
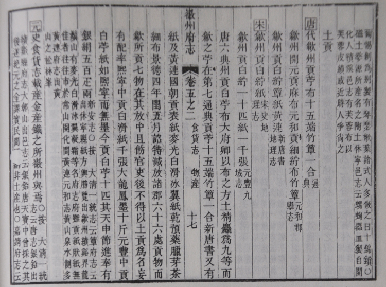
南宋罗愿所撰《新安志》记载:“歙州绩溪纸,乃澄心堂遗物,其新也,鲜明过之。今世纸多出南方,如乌田、古田、由拳、温州、惠州皆知名,拟之绩溪,曾不及其门墙耳”。并提到:“纸亦有麦光、白滑、冰翼、凝霜之目。今歙县,绩溪界有地名龙须者,纸出其间,故世号龙须纸。大抵新安之水,清彻见底,利以沤楮,故纸之成振之,似玉雪者,水色所为也。其岁晏敲冰为之者益坚韧。”淳熙《新安志》卷二《贡纸》条目中记载:宋代新安“贡表纸,麦光、白滑、冰翼纸。……熙宁中贡白滑纸千张,大龙风墨十斤。元丰中贡白苧十匹,纸如熙宁。而无墨。”同时记载:“上供七色纸,岁百四十四万八千六百三十二张”。从以上文献资料可以窥见,作为技艺主要承载体的宣纸已经在当时得到社会的广泛认同,而该技艺也在这种需求中不断完善。
南宋人陈栖在《负暄野录》卷下《论纸品》中提到:“布缕为纸,今蜀笺犹多用之,其纸遇水滴则深作窠臼,然厚者乃尔,故薄而清莹者乃可贵。……今越之竹纸甲于他处,而藤乃独推抚之清江。清江(纸)使处在于坚滑而不留墨。新安玉版,色理极腻白,然纸性颇易软弱,今士大夫多糨而后用,既光且坚,用得其法,藏久亦不蒸蛀。”宋人李焘撰《续资治通鉴长论》卷二五四页记载:熙宁七年六月,“召降宣纸式下杭州,岁选五万番,自今公移常用纸,长短广狭,毋得用宣纸相乱”。 说明当时朝廷为解决宣纸供需矛盾,下令移宣纸工艺于外地,借以增加产量。但因宣纸生产需特定的原料和水质,外地仿制的宣纸质量终难达到原产地的水平。由此说明宣纸品质优胜,社会需求量大,就难免“鱼龙混杂”,因而制作技艺就有更广阔的传播空间,也由此说明当时社会对宣纸的认同。

《雪景晚轴图》
明代屠隆在《纸墨笔砚笺·纸笺》中记载:“宋纸,有澄心堂纸极佳,宋诸名公写字及李伯时(李公麟)画,多用此纸。……有歙纸,今徽州歙县地名龙髯者,纸出其间,光滑莹白可爱。有黄白经笺,可揭开用之。有碧云、春树笺、龙凤笺、团花笺、金花笺。有匹纸,长三丈至五丈。陶殻家藏数幅,长如匹练,名鄱阳白。有藤白纸,观音帘纸,鹄白纸、蚕茧纸、竹纸、大笺纸。有彩色粉笺,其色光滑,东坡、山谷(黄庭坚)多用之作画、写字。”明·弘治《徽州府志·物产志》在记载宋时纸品时提到:“旧有麦光、白滑、冰翼、凝霜之目。歙续溪界中有龙须山,纸出其中,名龙须纸。……宋时纸名则有所谓进劄、殿劄、玉版、京帘、观音堂劄、之类”。宣纸品类的丰富说明了技艺的完善和技艺体系的形成。

《徽州府志》
由于宣纸作画的风气逐渐形成,宋代产生了一批书画大家和传世刻本。现存于北京故宫博物院的李建中的《同年帖》、米芾的《韩写帖》、李衎的《墨竹图》、李清照的《金石录》、李贺的《歌诗篇》、谢眺的《谢宣城集》、朱熹的《诗集传》、王泌的《朱子语录》、吕祖谦的《皇朝文鉴》、魏了翁的《九经古义》、祝穆的《方舆胜览》等,以及安徽省博物馆藏的张即之抄经册等传世精品和刻本,均是在手工造纸业的快速发展下推动的书画艺术和印刷业繁荣的最好见证。其中,苏易简的《文房四谱》是首次记叙纸张、产地及品种的专著,也是首本专门论述文房四宝以及造纸技艺的专著。
宋时,由于宣纸品种的增多,质量的提高,原料使用的改进,以及使用范围的不断扩大,用纸数量也不断增多,宣纸制造技艺呈现出一片繁荣的景象,以致朝廷直接下诏催造。故宋代诗人王令在《再寄满权子诗》中赞到:“有钱莫买金,但买江东纸,江东纸白如春云”。
宣纸历经唐、宋两代的发展,已逐渐取代绢、帛等传统书画材料,成为书写绘画的一种专用纸张。南宋以后百多年中,虽战乱频繁、民不聊生,但社会的发展,尤其是文化艺术事业的发展并未中断。从载体的使用情况与当今对比,足以说明宣纸在这一时期已经走向成熟。
本文节选于《非物质文化遗产丛书·宣纸》,浙江人民出版社,2014:17-19
作者:黄飞松、汪欣